Nueva mutación sin sentido en el gen TCOF1 asociado al síndrome de Treacher Collins: informe de caso

Encuentra más información en nuestro repositorio digital El síndrome de Treacher Collins (TCS) es un trastorno congénito caracterizado por malformaciones craneofaciales. En este caso, se informó de una nueva variante probablemente patógena sin sentido, en el gen TCOF1, asociada con TCS. Se realizó análisis genético en un participante ecuatoriano (sujeto A) y su madre (sujeto B), ambos de los cuales exhibían características características del TCS. La secuenciación de próxima generación (NGS) identificó una única variante nucleótida (c.4423A > T) en el exón 25 del gen TCOF1, lo que dio como resultado un codón de parada prematuro (p.(Lys1475Ter)) y una proteína de melaza truncada. La probable variante patógena presentada en los sujetos A y B podría alterar funciones críticas de la proteína, contribuyendo a las malformaciones craneofaciales de los sujetos. La variante informada en este informe de caso contribuye al conocimiento de las variantes del gen TCOF1 asociadas con el TCS y destaca la importancia del cribado genómico para un diagnóstico preciso y una mejor gestión clínica en pacientes y familias El síndrome de Treacher Collins (TCS) es un trastorno congénito raro caracterizado por dismorfismo craneofacial.1 El TCS está asociado con variantes en los genes TCOF1, POLR1B, POLR1C y POLR1D; el tipo de TCS varía según el gen afectado. La mayoría de los casos de TCS son causados por alteraciones en el gen TCOF1, siguiendo un patrón hereditario autosómico dominante. El gen TCOF1 juega un papel clave en varios procesos celulares cruciales, incluyendo la regulación de la mitosis, biogénesis de los ribosomas, ubiquitinación, respuesta al daño del ADN e integridad de los telómeros Hasta la fecha, no se han reportado estudios sobre la prevalencia o las características genómicas del TCS en el Ecuador. Así, presentamos los primeros datos genómicos de un paciente ecuatoriano clínicamente diagnosticado con TCS. Además, la probable variante patógena descrita en este artículo no ha sido previamente descrita. Este estudio sigue las directrices de CARE. Accede al artículo completo aquí
Identificación de una nueva variante de NKX2-5 en un paciente joven ecuatoriano con bloqueo auriculoventricular y bradicardia: reporte de un caso

Encuentra más información en nuestro repositorio digital Las enfermedades cardiovasculares (ECV) son la principal causa mundial de mortalidad, y Sudamérica refleja tendencias similares. Entre las cardiopatías congénitas (CHD), se incluye el bloqueo auriculoventricular (AV). El bloqueo AV es una afección definida por la transmisión anormal de señales eléctricas entre las aurículas y los ventrículos. Los avances en la secuenciación de próxima generación (NGS) han facilitado la identificación de variantes genéticas asociadas con trastornos cardíacos, como el bloqueo AV. En particular, el factor de transcripción NKX2-5 desempeña un papel crucial en el desarrollo y la función del corazón, y las mutaciones en este gen se han relacionado con la bradicardia y el bloqueo AV. Este artículo describe el informe de caso de un niño ecuatoriano diagnosticado con bloqueo AV y bradicardia. Además, al realizar NGS, se identificó una variante sin sentido, la sustitución p.(Tyr274Ser), en el gen NKX2-5 y se clasificó como una variante de significado incierto (VUS). El análisis ancestral ha mostrado un trasfondo genético de 16,5% africano, 45,9% europeo y 37,6% nativo americano. Estos hallazgos sugieren una posible asociación entre la variante NKX2-5 identificada y el fenotipo del paciente, lo que resalta la importancia de integrar los análisis genómicos y ancestrales para avanzar en el diagnóstico y la terapéutica personalizados en diversas poblaciones, como la población mestiza. Accede al artículo completo aquí
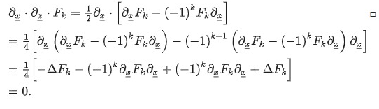
Sobre la correcta formulación de problemas de valores en la frontera para operadores de Dirac de orden superior en Rm

Encuentra más información en nuestro repositorio digital El análisis de Clifford ofrece un marco adecuado para el tratamiento unificado de fenómenos de dimensiones superiores. Este artículo se centra en problemas de valor de frontera para operadores de Dirac de orden superior, directamente relacionados con los operadores de Lamé-Navier y Laplace iterados. El condicionamiento de los problemas a las fronteras de los dominios considerados garantiza su correcta formulación en el sentido de Hadamard. El análisis de Clifford mediante álgebras de Clifford se considera una generalización del análisis complejo en un contexto de mayor dimensión. Se centra en el estudio de las propiedades locales de las soluciones nulas del operador de Dirac (funciones monogénicas) en un fibrado espinorial del espacio euclidiano. Para un estudio en profundidad del análisis de Clifford, incluyendo notas históricas, consulta, por ejemplo, Accede al artículo completo aquí
Enfermedad de Alzheimer: exploración de hipótesis fisiopatológicas y el papel del aprendizaje automático en el descubrimiento de fármacos

Encuentra más información en nuestro repositorio digital La enfermedad de Alzheimer (EA) es una demencia neurodegenerativa importante, cuya compleja fisiopatología desafía los tratamientos actuales. Los avances recientes han cambiado el enfoque de la hipótesis amiloide, tradicionalmente dominante, hacia una comprensión multifactorial de la enfermedad. La evidencia emergente sugiere que, si bien la acumulación de beta-amiloide (Aβ) es fundamental para la EA, podría no ser el factor principal, sino parte de un proceso patogénico más amplio. Se han propuesto nuevas hipótesis, incluyendo el papel de las anomalías de la proteína tau, la disfunción mitocondrial y la neuroinflamación crónica. Además, el eje intestino-cerebro y las modificaciones epigenéticas han cobrado relevancia como posibles contribuyentes a la progresión de la EA. Las limitaciones de las terapias existentes subrayan la necesidad de estrategias innovadoras. Este estudio explora la integración del aprendizaje automático (AA) en el descubrimiento de fármacos para acelerar la identificación de nuevas dianas y fármacos candidatos. El AA ofrece la capacidad de abordar la complejidad de la EA, permitiendo el análisis rápido de amplios conjuntos de datos y optimizando el diseño de ensayos clínicos. La sinergia entre estos temas presenta un futuro prometedor para tratamientos más efectivos contra la EA. Accede al artículo completo aquí
Prácticas sexuales y comportamientos de riesgo frente a la infección por el virus de inmunodeficiencia humana (VIH) entre estudiantes universitarios ecuatorianos: un estudio transversal

Encuentra más información en nuestro repositorio digital Describir las prácticas sexuales y el comportamiento hacia la infección por VIH entre los estudiantes universitarios ecuatorianos. Se trata de un estudio transversal y descriptivo realizado entre febrero de 2019 y agosto de 2020 entre estudiantes universitarios de todo el país. Los estudiantes mayores de 18 años de cada institución participante fueron contactados por una cuenta de correo electrónico oficial e invitados a completar una encuesta a través de Google Forms. Se analizaron los datos de un total de 5677 participantes sexualmente activos. La mayoría eran mujeres (57,1%), el 48,7% correspondía al rango de edad 18-20 años y casi la mitad estudiaba en el campo de la salud. Sólo el 28,5% (n=1612) mencionó haber sido sometido a una prueba de detección del VIH al menos una vez. En lo que respecta al comportamiento sexual, la gran mayoría informó de haber tenido una sola pareja en los dos últimos meses. El uso del condón durante el ‘último’ contacto sexual fue significativamente menor en el grupo nunca probado (33.5% vs 43.3%, p<0.0001, respectivamente). Tener un mayor número de parejas sexuales (OR 0,94, IC del 95% 0,78 a 1,13) y no usar condón (OR 0,73, IC del 95% 0,64 a 0,82) se relacionó significativamente con la realización de una prueba de VIH. Más de la mitad de los participantes indicaron que se hacían la prueba del VIH como parte de su control rutinario, y casi la mitad mencionaron que no lo hacían porque estaban seguros de estar libres de VIH. El comportamiento con respecto a las pruebas de detección del VIH en los estudiantes universitarios estaba relacionado con sus prácticas y comportamientos sexuales de riesgo. Las campañas de prevención dirigidas a la población en general, así como a las poblaciones en riesgo, incluidos los estudiantes universitarios, son necesarias para frenar la creciente incidencia del VIH en el Ecuador. Accede al artículo completo aquí
Una revisión exhaustiva de los sistemas de sensores basados en visión para el análisis de la marcha humana

Encuentra más información en nuestro repositorio digital El análisis de la marcha humana representa un área fundamental de investigación dentro de los amplios dominios de la biomecánica, la investigación clínica y numerosos campos interdisciplinarios. El avance de la tecnología de sensores visuales y los algoritmos de aprendizaje automático ha permitido avances sustanciales en la creación de sistemas de análisis de la marcha humana. Este artículo presenta una revisión exhaustiva de los avances y hallazgos recientes en el campo de los sistemas de análisis de la marcha humana basados en la visión durante los últimos cinco años, con especial énfasis en el papel de los sensores de visión, los algoritmos de aprendizaje automático y las innovaciones tecnológicas. Los artículos relevantes se analizaron mediante el método PRISMA y se identificaron 72 artículos que cumplieron con los criterios de este proyecto de investigación. En el análisis se detallan los sistemas de sensores visuales más utilizados, los algoritmos de aprendizaje automático, los parámetros de análisis de la marcha humana, la ubicación óptima de la cámara y los métodos de extracción de parámetros de la marcha. Los resultados de esta investigación indican que las cámaras de profundidad no invasivas están ganando cada vez más popularidad en este campo. Además, los algoritmos de aprendizaje profundo, como las redes neuronales convolucionales (CNN) y las redes de memoria a largo plazo (LSTM), se emplean cada vez con mayor frecuencia. Esta revisión busca sentar las bases para futuras innovaciones que faciliten el desarrollo de herramientas de análisis de la marcha más efectivas, versátiles y fáciles de usar, con el potencial de mejorar significativamente la movilidad, la salud y la calidad de vida de las personas. Accede al artículo completo aquí